NEURAL CONTROL & COORDINATION
1.Match the following columns
2.Match the following columns
3.Match the following columns
4.Synapses are of two types namely _A_ synapses and _B_ synapses. Here A and B refers to
5.Reflex action is controlled by
6.Which one of the following pairs of structures distinguishes a nerve cell from other types of cell?
7.Corpus callosum connects
8.Identify the parts labelled as A and E and choose the correct option for the diagrammatic representation of reflex action showing knew-jerk reflex
9.Which one of the following is not a part of ear?
10.What is the location of hypothalamus?
11.In the axon of motor nerve fibre, the nerve impulse travels
12.The functions of the organs/organ system in our body must be coordinated to maintain __ Complete the given statement with reference to NCERT textbook
13.Old age far sightedness is a defect of eye in which
14.Gustatoreceptors are
15.A structure of neuron comprises of
16.The complex system of the inner ear associated with maintenance of body balance is
17.In dark adaptation
18.Choose the odd pair out in the following
19.Which one is correct regarding the ear and hearing?
20.Involuntary activities of the body are controlled by
21.Given is the diagram of human eye. Identify A and E
22.Which pair of systems jointly coordinate and integrate all the activities of the organs, so that they function in a synchronized fashion?
23.Which of the following features show antagonism over a particular organ?
24.The _A_ is a structure located on the _B_ which contains _C_ that acts as auditory receptors Choose the correct option for A, B and C
25.Which of the following cells are associated with identification of colours in bright light?
26.Vitreous chamber, which is filled by vitreous humor is the space
27.Which part of human brain is concerned with the regulation of body temperature?
28.Choose the incorrect options regarding white matter of the brain I. White matter of the brain is white in colour II. White matter of the brain is white in colour but sometimes it is found to be grey III. White matter of the brain is mostly formed by medullated nerve fibres IV. White matter of the brain is formed of cell bodies of nerve fibres
29.The rods and cones of the retinal layer of eye are modified
30.The brain can be divided into
31.Which of the following statements is correct regarding receptors in the skin?
32.Synaptic knob is bulb-like structure which is present
33.The potential difference across the membrane of nerve fibre when it does not shown any physiological activity is called resting potential. It is about
34.In the following abnormalities of the eye, which one is serious condition that leads to blindness?
35.The function of vagus nerve innervating the heart is to
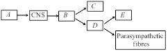
36.Select the correct arrangement of fibres (A-E) in the diagram given below
37.The most appropriate definition for neuroglial cells are that they are
38.Brain depends on blood for the supply of
39.Which of the damaged cells cannot be repaired?
40.There are different types of cones to human eye that responds to
41.Which part of brain is associated with strong emotions?
42.Nerve impulse initiates with the movement of
43.Hypothalamus controls I. urge for eating and drinking II. thermoregulation III. hormones production that regulates the secretion of pituitary gland IV. creative thinking and consciousness
44.You are watching a horror movie and you notice your heart is beating fast and mouth is dry. It is because of
45.Human ears perform sensory functions. These are
46.The decoding and interpretation of visual information is carried out by which part of the brain?
47.During the transmission of nerve impulse through a nerve fibre, the potential on the inner side of the plasma membrane has which type of electric charge?
48.Pneumotaxic centre which can moderate the functions of the respiratory rhythm centre is present at
49.Which of the following statements are correct for cones of human eye? I. Cones are responsible for daylight vision II. Cones are responsible for colour vision III. Cones are responsible for photopic vision Choose the correct option
50.The inner parts of cerebral hemispheres and a group of associated deep structures like amygdala, hippocampus, etc. form a complex structure called