Principles of Inheritance and Variation

A 1 2 3 4 5 6 7 8 9 10 11 12 13 14 15 16 17 18 19 20 21 22 23 24 25 26 27 28 29 30 31 32 33 34 35 B 36 37 38 39 40 41 42 43 44 45 46 47 48 49 50

Section-A

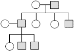
1.Following pedigree chart shows



Character is carried by Y-chromosome
Character is sex-linked recessive
Character is sex-linked dominant
Character is recessive autosomal

2. I. Haemophilia
II. Cystic fibrosis
III. Sickle-cell anaemia
IV. Colour blindness
V. Cancer
VI. Plague
VII. Phenylketonuria
VIII. Thalassaemia
Choose the correct options for Mendelian disorders

I, II, III, IV, VI, VIII
I, II, III, IV, VII, VIII
I, II, III, IV, V, VI
I, II, III, IV, V, VIII

3.An $Rh^-$ individual receives $Rh^+$ blood. The recipient becomes

Sterile
Dead
No reaction
isoimmunized

4.In order to find out the different types of gametes produced by a pea plant having the genotype AaBb, it should be crossed to a plant with the genotype

aaBB
AaBb
AABB
aabb

5.Incomplete dominance is shown by

Primrose
Mirabilis
Helianthus
China rose

6.Parents with blood group-A and AB will not produce offspring with blood group

A
AB
B
O

7.Find out A,B and C in the diagram given below in


A-Male, B-Female, C-Gametes
A-Male, B-Female, C-Sperm
A-Female, B-Male, C-Gametes
A-Gametes, B-Male, C-Female

8.A women with albinic father marries an albinic man.the proportion of her progeny is

2 normal : 1 albinic
All normal
All albinic
1 normal : 1 albinic

9.When two unrelated individuals or lines are crossed, the performance of $F_1$ hybrid is often superior to both its parents. This phenomenon, is called

Transformation
Splicing
Metamorphosis
heterosis

10.If a cross is made between AA and aa, the nature of $F_1$-progeny will be

Genotypically AA, phenotypically a
Genotypically Aa, phenotypically a
Genotypically Aa, phenotypically A
Genotypically aa, phenotypically A

11.Which one pair of parents is most likely get a child, who would suffer from haemolytic disease of new born?

$Rh^+$ mother and $Rh^-$ father
$Rh^-$ mother and $Rh^-$ father
$Rh^+$ mother and $Rh^+$ father
$Rh^-$ mother and $Rh^+$ father

12.Which of the following pairs of features is a good example of polygenic inheritance?

Human height and skin colour
ABO blood groups in humans and flower colour of Mirabilis jalapa
Hair pigment of mouse and tongue rolling in humans
Humans eye colour and sickle cell anaemia

13.Humans knew from as early as __A__ BC that one of the causes of variation was hidden in __B__ reproduction. They exploided __C__ that were naturally present in wild population, A,B and C here refer to

A-8000-1000 BC, B-sexual, C-variations
A-8000-15000 BC, B-sexual, C-similarity
A-800-1500 BC, B-sexual, C-similarity
A-20000-25000 BC, B-sexual, C-similarity

14.Some individuals with blood group –A may inherit the genes for blonde hair, while other individuals with blood group – A may the gene for brown hair. This can be best explained by the principle of

3:1
9:3:3:1
1:1
1:1:1:1

15.Linked gene is related to __A__ and unlinked gene is related to __B__
Choose correct option for A and B

A-linkage; B-crossing over
A-crossing over; B-linkage
A-crossing over; B-recombination
A-recombination; B-crossing gene

16.Linkage groups are always present on the

Homologous chromosomes
Analogous chromosomes
Sex chromosomes
Heterologous chromosomes

17.Choose the chemical used in artificial polyploidy

Polyethylene glycol
Sodium alginate
Acenaphthene
Sodium hypochlorite

18.What will be the gametic chromosomes number of a cell, if somatic cell have 40 chromosomes?

10
20
30
40

19.When alleles of two contrasting characters are present together, one of the character expresses itself during the cross while the other remains hidden. This is the

Law of purity of gametes
Law of segregation
Law of dominance
Law of independent assortment

20.ABO blood groups in human are controlled by the gene I. It has three alleles $–I^A$ ,$I^B$ and i. since there are three different alleles, six different genotypes are possible. How many phenotypes can occur?

3
1
4
2

21.Study the following figure and find out the most probable position at which the crossing over takes place


w and W
X and y
y and Z
w and z

22.Sickle-cell anaemia is an autosomal linked recessive trait can be transmitted from parents to the offspring when both the partners are carrier for all the genes or heterozygous. The disease is controlled by a single pair of allele, $Hb^A$ and $Hb^S$. Identify X, Y and Z


GTG GAC Val (GUG)
CAC CTC val (GUG)
GTA GAG val (GUG)
GTC GAC val (GUG)

23.Find the phenotype of A,B,C,D from given cross (R-Red and r = white)


A-Red, B-Red, C-Red, D-White
A-Red, B-Red, C-White , D-White
A-Pink, B-Red, C-White, D-White
A-Pink, B-Red, C-Red, D-White

24.During __A__ both members of chromosome pair as well as __B__ separate and pass to different gametes. Choose the correct option for A and B

A-mitosis; B-allele pair
A-meiosis; B-allele pair
A-allele pair; B-meiosis
A-allele pair; B-mitosis

25.Which of the following symbols and its representation, used in human pedigree analysis is correct?


(a)
(b)
(c)
(d)

26.In a dihybrid cross between RRYY and rryy parents, the number of RrYy genotypes in $F_2$ generation will be

4
3
2
1

27.I. Short statured with small round head
II. Furrowed tongue and partially opened mouth
III. Palm is broad with characteristic palm crease
IV. Slow physical, psycomotor and mental development
These are the characters of

Down’s syndrome
Turner’s syndrome
Klinefelter’s syndrome
Edward syndrome

28.Plant which used by Hugo de Vries for mutation experiment was

Oenothera lamarckiana
Solanum tuberosum
Ficus elastica
None of the above

29.Baldness is more common in men than in woman. It could be explained on the basis that

Genes of baldness are located on X-chromosomes only
Baldness genes are located on Y-chromosomes
Genes of baldness are autosomal but influenced by androgens
None of the above

30.In Mendelian dihybrid cross when heterozygous Round Yellow are self crossed. Round Green offsprings are represented by the genotype

RrYy,RrYY and RRYy
Rryy,RRyy, and rryy
rrYy andrrYY
Rryy and RRyy

31.The possibility of a female becoming a haemophilia is __A__ rare because mother of such a female has to be at least __B__ and the father should be __C__
Choose the correct option for A, B and C

A-extremely, B-carrier, C-haemophilic
A-extremely, B-carrier, C-carrier
A-extremely, B-haemophilic, C-carrier
A-extremely, B-haemophilic, C-haemophilic

32.In a family father had a trait but mother did not. All their sons and daughter had this trait. The same trait was found in some grand daughters, through daughter were married to the normal persons.
Choose the correct pedigree chart for the condition


(a)
(b)
(c)
(d)

33.In case of incomplete dominance, what will be the phenotypic ratio of $F_2$ generation?

3:1
1:2:1
1:1:1:1
2:2

34.Match the symbols with statement

A. Diseased (death)
B. Carrier (female) of X-linked recessive gene
C. Marriage in blood relatives
D. Unknown sex

A-1,B-2,C-3,D-4
A-6,B-5,C-7,D-4
A-2,B-1,C-3,D-4
A-6,B-2,C-3,D-4

35.Letter symbol refers to the dominant factors give a __A__ or upper case latter of the alphabet. A corresponding __B__ or lower case letter is used for recessive factor. Here A and B refers to

A-capital; B-small
A-small; B-capital
A-capital; B-capital
A-small; B-small

Section-B

36.When a tall plant with round seeds (TTRR) crossed with a dwarf plant with wrinkled seeds (ttrr), the $F_1$-generation consists of tall plants with round seeds. What would be the proportion of dwarf plant with wrinkled seeds in $F_1$-generation?

1/4
1/16
0
1/2

37.A homozygous sweet pea plant with blue flowers (RR) and long pollen ($R_0R_0$)is crossed with a homozygous plant having red flowers (rr) and round pollen ($r_0r_0$). The resultant $F_1$ hybrid is test crossed. Which of the following genotype does not appear in its progeny?

1/4
1/8
1/16
3/16

38.Mutations, which alter nucleotide sequence within a gene are

Frameshift mutation
Base pair substitutions
Both Frameshift mutation and Base pair substitutions
None of these

39.What type of gametes will form by genotype rr Yy?

ry, rY
RY, Ry
Ry, Yy
RR, Yy

40.Haemophilia in man is due to

Sex-linked inheritance
Sex-limited inheritance
Sex-influenced inheritance
Primary non-disjunction

41.Identify the wrong statement.

In male grasshoppers, 50% of the sperms have no sex chromosome
Usually , female birds produce two types of gametes based on sex chromosome
The human males have one of their sex chromosomes much shorter than other
In domesticated fowls, the sex of the progeny depends on the type of sperm rather than the egg

42.Allelic sequence variations, where more than one variant (allele) at a locus in a human population with a frequency greater than 0.01, is referred to as

Incomplete dominance
Multiple allelism
SNP
DNA polymorphism

43.Chromosome is made up of

DNA +pectin
RNA +DNA
DNA +histone
Only histone

44.Which of the following is not considered as mutagen?

Lower temperature
X-rays
Higher temperature
UV rays

45.Match the items given in column I with those listed in column II. Choose the answer with correct combination of alphabets of the two columns.

Column-I Column-II
(A)Monohydrid cross (1)T and t
(B)Test cross (2)TT
(C)Alleles (3)Tt×Tt
(D)Homozygous tall (4)tt
(5)Tt×tt

A-3,B-5,C-4,D-2
A-5,B-3,C-2,D-4
A-3,B-5,C-1,D-2
A-3,B-1,C-5,D-2

46.Match the following columns

Column-I Column-II
(A)Autosomal linked recessive trait (1)Down’s syndrome
(B)Sex linked recessive disease (2)Phenylketonuria
(C)Metabolic error linked to autosomal recessive trait (3)Haemophilia
(D)Additional $21^{st}$ chromosome (4)Sickle-cell anaemia

A-4,B-1,C-2,D-3
A-4,B-3,C-2,D-1
A-2,B-1,C-4,D-3
A-3,B-4,C-1,D-2

47.Match the following columns

Column-I Column-II
(A)Fruitfly (p)2n = 6+XY
(B)Fowl (q)2n = 14+XX
(C)Grasshopper (r)2n = 16+XO
(D)Human (s)2n = 44+XY

A-p,B-q,C-r,D-s
A-q,B-r,C-s,D-p
A-r,B-s,C-p,D-q
A-q,B-p,C-s,D-r

48.Match the following columns

Column-I Column-II
(A)Gregor Mendel (1)Chromosomal theory of inheritance
(B)Sutton and Boveri (2)Law of inheritance
(C)Henking (3)Mendelian disorder
(D)Thalassaemia (4)Discovered X-body

A-4,B-2,C-1,D-3
A-2,B-1,C-4,D-3
A-4,B-1,C-2,D-3
A-2,B-3,C-4,D-1

49.Match the following columns

Column-I Column-II
(A)Test cross (1)9:3:3:1
(B)Monohybrid cross (2)Tt×tt
(C)Back cross (3)Tt×TT
(D)Dihybrid cross (4)3:1

A-2,B-4,C-3,D-1
A-2,B-4,C-1,D-4
A-3,B-4,C-1,D-2
A-1,B-4,C-1,D-3

50.Match the genetic phenomena with their respective ratios.

Column-I Column-II
(A)Inhibitory gene ratio (1)9:3:4
(B)Complementary gene ratio (2)1:1:1:1
(C)Recessive epistasis ratio (3)12:3:1
(D)Dihybrid test cross ratio (4)13:3
(E)Dominant epistasis ratio (5)9:7

A-5,B-4,C-3,D-2,E-1
A-4,B-5,C-1,D-2,E-3
A-1,B-2,C-4,D-3,E-5
A-2,B-1,C-4,D-5,E-3