MOLECULAR BASIS OF INHERITANCE
1.Assertion: Gene expression is a molecular mechanism by which a gene expresses a phenotype. Reason: Structural genes are controlled by control genes.
2.One gene-one enzyme hypothesis was experimentally proved on
3.A distinct mechanism that usually involves a short segment of DNA with a remarkable capacity to move from one location in a chromosome to another is called
4.The regulation of gene expression in prokaryotes A. Lactose acts as the suppressor for gene expression in Lac operon. B. Tryptophan acts as the inducer for gene expression in tryptophan operon C. In lac operon the i gene produces the repressor protein.
5.Select the two correct statements out of the four (I-IV) given below about Lac operon. I. Glucose or galactose may bind with the repressor and inactivate it. II. In the absence of lactose, the repressor binds with the operator region. III. The z-gene codes for permease. IV. This was elucidated by Francois Jacob and Jacques Monod. The correct statements are
6.Which of the following events would occur in 'Lac-operon' of E. coil when the growth medium has high concentration of lactose?
7.Fill in the blanks and select the option with all the right answers. RNA being a__(a)____ was reactive and hence___(b)____. Therefore, DNA has evolved from RNA with ____(c)____ modifications that make it more___(d)____
8.Assertion: RNAi takes place in all eukaryotic organisms as a method of cellular defence Reason: RNAi was used to prevent tobacco plants from a nematode pathogen causing root-knot disease
9.Stability as one of the properties of genetic material was very evident in
10.Hershey and Chase experiment was precisely aimed to
11.The experimental conclusions of Avery, Macleod and McCarty were: a) DNA is the hereditary material, b) Proteases and RNases did not affect transformation c) Digestion with DNases did inhibit transformation. The correct choice is
12.Assertion: DNA is more stable while RNA is more reactive. Reason: DNA was first discovered by Watson and Crick (1953).
13.The ‘beads on String’ structure which seen under EM are
14.Identify the incorrect statement (a) The length of DNA is usually defined as the number of Nucleotides or base pairs present in it. (b) In DNA, every Nucleotide residue has an additional –OH group present at the 2´ position in the deoxyribose (c) Nuclein was discovered and named by Friedrich Meisher in 1969 (d) Adenine pair with Thymine; Guanine pair with Cytosine through H- bonds. This makes one strand complementary to the other. (e) The Proposition of a double helical model of DNA was also based on the observation of Erwin Chargaff
15.Read (i) to (v) and find the correct option. (i) Nitrogen base is linked to pentose sugar through N-glycosidic linkage. (ii) Phosphate group is linked to 5'-OH of a nucleoside through phosphoester linkage. (iii) Two nucleosides are linked through 3'-5' N-glycosidic linkage. (iv) Negatively charged DNA is wrapped around positively charged histone octamer to form nucleosome (v) Chromatin that is more densely packed and stains dark is called euchromatin.
16.Reverse Transcript is
17.Protein synthesis in an animal cell takes place
18.There are 20% adenine among the bases in a DNA fragment measuring 6.8 nm in length. The number of pentose, nitrogen base pairs, phosphate groups and hydrogen bonds in this DNA fragment are respectively.
19.Assertion: Euchromatin is transcriptionally active part of chromatin. Reason: Darkly stained region of chromatin is Euchromatin.
20.(A) Histone octamer is made up of 5 types of Histone protein (B) A typical nucleosome contains 200 bp of DNA Helix (C) Histones are organized to form a unit of eight molecules called as histone octamer (D) The negatively charged DNA is wrapped around the positively charged histone octamer to form a structure called nucleosome. How many statements are correct?
21.Watson and Crick proposed certain features for the double-helical model of the structure of DNA. Which of the following is not a feature of the double-helical structure of DNA?
22.A molecular biologist analysed a nucleic acid sample and found that it contained the $N_2$ bases in the following proportion A = 20%, T = 15%, C = 35%, G = 30%. This data indicates that
23.A, B, C and D are related with
24.The number of phosphodiester bonds in a double stranded DNA molecule
25.DNA shows more structural stability because: a) It has two chains with complementarity b) 2' OH is absent in the nucleotides c) it is not catalytic The correct choice is
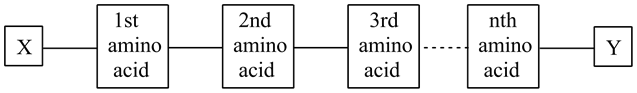
26.Identify X and Y in the newly synthesized polypeptide chain given below
27.A diploid cell of an organism has 8.4 × $10^{10}$ base pairs. The length of the total DNA could be
28.In a 3.2 Kbp long pieces of DNA, 820 adenine bases were found. What would be the number of cytosine bases?
29.Which one of the following statements is incorrect about the properties of DNA?
30.In a DNA molecule, the adenine is 15%. What will be the percentage of guanine in this DNA?
31.Identify the correct statement. 1. RNA polymerase associates transiently with 'Rho' factor to initiate transcription. 2. In bacteria transcription and translation takes place in the same compartment. 3. RNA polymerase I is responsible for transcription of tRNA. 4. When hnRNA undergoes capping process, adenylate residues are added at 3' end in a template | independent manner 5. hnRNA is precursor of mRNA
32.In the process of hn RNA tailing involves the attachment of
33.Identify A, B, C, D in the following representation of m-RNA of eukaryotes
34.Choose the correct statements with respect to transcription. I) Only one of the strands of DNA is transcribed to form RNA at the transcription site II) All transcriptions lead to translations III) Eukaryotes have only one type of transcriptase IV) Transcription is DNA dependent process
35.Match the following
36.Following is the schematic structure of the transcription unit having some components indicated by(a), (b), (c), (d) and (e).In which of four options the components are identified correctly?
37.The ribosome moves from codon to codon along the ...A... At the end a ...B... factor binds to ...C... codon, terminating translation and releasing the complete polypeptide from the ribosome. Choose the correct option for A, B, and C.
38.Consider the following sentences and choose the correct ones. I. Each gene contains a specièc promoter region and a leader sequence for guiding the beginning of transcription. II. Only one strand of DNA, called template strand is copied by RNA polymerase this strand runs in 3' 5' direction. III. RNA polymerase adds complementary nucleotides, to 3' end forming single strand mRNA in 5' - 3' direction. IV. Section of DNA that has been transcribed is rewound into its original configuration.
39.Identify the correct statements. a. In a transcription unit, the promoter is located at the '5' end of coding strand b. The single-strand DNA having the polarity 5'------ 3' is the template strand. c. RNA polymerase binds to the operator during transcription. d. Single base DNA differences occur in humans are called Single Nucleotide Polymorphism (SNPs).
40.An mRNA has 200 codons and last codons are UAA. How many amino acids are coded by that mRNA
41.Listed below are the stages in the cellular synthesis of a protein. a) Movement of mRNA from nucleus to cytoplasm b) Linking of adjacent amino acid molecules c) Transcription for mRNA from a DNA template d) Formation of the polypeptide chain e) Attachment of the mRNA strand to a ribosome In which order do these stages take place?
42.A codon consists of three bases and there are four different kinds of bases in a nucleic acid altogether. How many codons will be there?
43.Termination of protein synthesis or translation requires I. stop signal II. starting coding III. Release factor IV. GUG and AUG codon. Choose the correct combination
44.Which of the following factor is required for protein synthesis? I. Initiation codon II. GTP and ATP III. Peptidyl transferase IV. tRNA V. mRNA VI. Amino acid activating enzyme VII. rRNA Choose the correct combination
45.Which of the following steps of translation does not consume a high energy phosphate bond
46.Find the nucleotide sequence of the mRNA which codes for the sequence of amino acids - 'Met - Leu -Val - Arg-Ala' and choose the correct option from below
47.On the Basis of Given DNA Fingerprint, match their children’s (K and L) with their respective parent (A,B, C, D)
48.Find the wrong from the following
49.DNA Probe is used for
50.Select the correct match with respect to findings of HGP.