FULL TEST 02
1.Choose correct option w.r.t origin and position of meristem reponsible for the regeneration of parts removed by the grazing herbivores.
2.Which one of the following is a long day plant?
3.Life cycle of Ulothrix is shown in the diagram. The correct ploidy levels at the four stages A, B, C and D are :
4.Connecting link between glycolysis and Krebs cycle is/before entering Krebs cycle pyruvate is changed to
5.Differentiation of shoot is controlled by
6.Match Column-I with Column-II and select the correct option from the codes given below.
7.The enzyme used for joining two DNA fragments is called:
8.Thorn is a modification of
9.Dry indehiscent single-seeded fruit formed from bicarpellary syncarpous inferior ovary is
10.DDT residues are rapidly passed through food chain causing biomagnification because DDT is
11.Deep black soil is productive due to high proportion of
12.The diagram below is a model demonstrating the mass flow hypothesis of translocation. What are the structures represented by W, X, Y and Z and what is the direction of flow of solution along W ?
13.Female gametophyte of angiosperms is represented by
14.Given below are the diagrammatic representation of position of floral parts on thalamus, condition of ovary and example. Find the correctly matched combination?
15.Today, concentration of green house gases is high because of
16.Cross between AaBB and aaBB will form
17.Which of the following is the most stable ecosystem?
18.Parthenocarpic tomato fruits can be produced by
19.A gene pair hides the effect of another gene.The phenomenon is
20.What would happen if in a gene encoding a polypeptide of 50 amino acids, 25th codon (UAU) is mutated to UAA?
21.The rate at which light energy is converted to the chemical energy of organic molecules in the ecosystem’s is
22.Consider the following statements concerning food chains : (i) Removal of 80% tigers from an area resulted in greatly increased growth of vegetation (ii) Removal of most of the carnivores resulted in an increased population of deers (iii) The length of food chains is generally limited to 3-4 trophic levels due to energy loss (iv) The length of food chains may vary from 2 to 8 trophic levels Which two of the above statements are correct?
23.Cabbage is a biennial plant which produces flowers in second year of growth. In an attempt to make it flower in a single year, four potted plants (I, II, III and IV) of cabbage were subjected to different temperatures for several days as given in the table.
24.Binomial nomenclature was introduced by
25.Pteridophytes differ from mosses/bryophytes in possessing
26.It is important that certain free ribosomes bind to the outer surface of the endoplasmic reticulum (ER) in order to complete their protein synthesis because
27.. Mycorrhiza is
28.Laminaria (kelp) and Fucus (rock weed) are the examples of
29.The outer layer of vacuole is called
30.A narrow layer of thin walled cells found between phloem/bark and wood of a dicot is
31.Which of the following statements is true?
32.The linking of antibiotic resistance gene with the plasmid vector became possible with
33.Which one of the following is not included under in-situ conservation ?
34.Monascus purpureus is a yeast used commercially in the production of :
35.Gel electrophoresis is used for
36.DNA or RNA segment tagged with a radioactive molecule is called
37.Which of the following is considered a hot-spot of biodiversity in India ?
38.Which of these organisms are protected by people of 'Bishnoi' community of Rajasthan?
39.The movement of mineral ions into plant root cells as a result of diffusion is called
40.The rate of transpiration in plants is dependent upon
41.Stomata open and close due to
42.Match Column-I with Column-II and select the correct answer from the codes given below.
43.The term ‘keel’ is used for special type of
44.Chemiosmotic hypothesis given by Peter Mitchell proposes the mechanism of
45.The given diagram shows microsporangium of a mature anther. Identify A, B and C.
46.Velamen is a specialized tissue found in
47.Root cambium is derived from
48.The shade of a Tree is cooler than the shade of a roof due to
49.Crop rotation is used by farmers to increase
50.The limiting factor in nitrification of soil is
51.Which of the following changes occur in diaphragm and intercostal muscles when expiration of air takes place?
52.Which ion is essential for muscle contraction?
53.Which one of the following organs in the human body is most affected due to shortage of oxygen?
54.A cricket player is fast chasing a ball in the field. Which one of the following groups of bones is directly contributing in this movement?
55.Choose the correct names of the different bacteria according to their shapes.
56.Match the source gland with respective hormone as well as the function correctly.
57.In the chemistry of vision in mammals, the photosensitive substance is called
58.Vaccine against polio viruses is an example of
59.Egg is liberated from ovary in
60.Animals that can tolerate a narrow range of salinity are
61.The most important component of the oral contraceptive pills is
62.The following graph of relative concentrations of the four hormones present in the blood plasma of a woman during her menstrual cycle. Identify the hormones.
63.Reproductive health in society can be improved by – (i) Introduction of sex education in schools. (ii) Increased medical assistance. (iii) Awareness about contraception and STDs. (iv) Equal opportunities to male and female child. (v) Ban on aminocentesis.(vi) Encouraging myths and misconceptions.
64.Foetal ejection reflex in human female is induced by
65.Natality is the characteristic of a population which means
66.In human female the blastocyst
67.Choose the wrong statement regarding urine formation
68.Which one of the following is an exotic Indian fish ?
69.Which of the following primate is the closest relative of humans?
70.Adaptive radiation refers to
71.What was the most significant trend in evolution of modern man (Homo sapiens) from his ancestors ?
72.Which of the following is a viral disease of poultry birds?
73.Select the incorrect statement from the following.
74.Classification of Porifera is based on
75.The kind of epithelium which forms the inner walls of blood vessels is
76.Myoglobin is present in
77.Mast cells are associated with
78.Which of the following is incorrect match of animal group/life style/structure/function?
79.Man, in the life cycle of Plasmodium, is
80.The most active phagocytic white blood cells are
81.Human insulin is being commercially produced from a transgenic species of
82.Obstacle to large scale transplantation of organs is
83.Which one of the following is an Indian medicinal plant ?
84.Which of the following bacteria carry out oxygenic photosynthesis by means of a photosynthetic apparatus similar to the eukaryotes?
85.It is commonly said that ladies are protected from heart attacks in reproductive period i.e., from puberty to menopause because:
86.Dolly sheep was obtained by –
87.Which of the following forms the basis of DNA finger printing?
88.Which one of the following correctly represents the normal adult human dental formula ?
89.Toxic substances are detoxified in human body in
90.The function of rennin is
91.Heart is covered by
92.Which of the following is incorrect?
93.Diagram represents one cardiac cycle lasting 0.8 s and to the possible answers that follow it. Which answer describes the events that occur during period X ?
94.Diabetes insipidus is a condition in which a per- son is unable to produce sufficient levels of the hormone ADH. The hormone increases the permeability to water of the second (distal) convoluted tubule and collecting duct in the kidney nephrons. What is produced as a result?
95.Dark purplish gland lying on the left side of abdomen is called :
96.The state, during which the respiratory centre is inhibited, is termed as
97.An artificial pacemaker is implanted subcutaneously and connected to the heart in patients
98.Why do we move our hands while walking?
99.A gland called 'Clock of ageing' that gradually reduces and degenerates in ageing is
100.Which of the following is an egg laying mammal?
101.Fluorine is more electronegative than either boron or phosphorus. What conclusion can be drawn from the fact that BF$_3$ has no dipole moment but PF$_3$ does ?
102.Sulphur dioxide and oxygen were allowed to diffuse through a porous partition. 20 dm$^3$ of SO$_2$ diffuses through the porous partition in 60 seconds. The volume of O$_2$ in dm$^3$ which diffuses under the similar condition in 30 seconds will be (atomic mass of sulphur = 32 u):
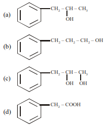
103. On mercuration-demercuration produces the major product:
104.In the extraction of Cu, the metal is formed in the bessemer converter due to the reaction :
105.An example of electrophilic substitution reaction is
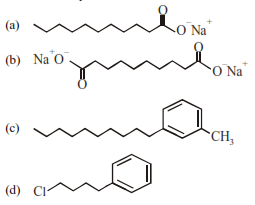
106.Which of the following molecules is most suitable to disperse benzene in water ?
107.Ozone hole refers to
108.Which of the following does not represent the correct order of the properties indicated
109.Match the columns
110.The electrons, identified by quantum numbers n and l (i) n = 4, l = 1 (ii) n = 4, l = 0 (iii) n = 3, l = 2 (iv) n = 3, l = 1 can be placed in order of increasing energy, from the lowest to highest, as
111.In an adiabatic process, no transfer of heat takes place between system and surroundings. Choose the correct option for free expansion of an ideal gas under adiabatic condition from the following.
112.In which of the following cases, the stability of two oxidation states is correctly represented
113.Which is not the disproportionation reaction ?
114.The major organic product in the reaction, $CH_3-O-CH(CH_3)_2$ + HI → Product is
115.The rate constant of a zero order reaction is 2.0 × $10^{2-}$ mol $L^{-1}$ $s^{-1}$. If the concentration of the reactant after 25 seconds is 0.5 M. What is the initial concentration ?
116.The correct order of solubility in water for He, Ne, Ar, Kr, Xe is
117.The de Broglie wavelength of a car of mass 1000 kg and velocity 36 km/hr is :
118.The correct IUPAC name for
119.Which of the following shows iso-structural species?
120.When dihydroxyacetone reacts with HIO$_4$, the product is/are :
121.Consider the reactions (A) $H_2O_2$ + 2HI $→$ $I_2$ + $2H_2O$ (B) HOCl + $H_2O_2$ $→$ $H_3O^+$ + $Cl^-$ + $O_2$ Which of the following statements is correct about $H_2O_2$ with reference to these reactions? Hydrogen peroxide is ______ .
122.A certain compound (X) when treated with copper sulphate solution yields a brown precipitate. On adding hypo solution, the precipitate turns white. The compound is
123.Consider the following reactions: $H^+_{(aq)}$ + $OH^-_{(aq)}$ $→$ $H_2O_{(l)}$, $∆$H = -$X_1$ kJ/mol $H_{2(g)}$ + $½O_{2(g)}$ $∆$ $H_2O_{(l)}$, $∆$H = -$X_2$ kJ/mol $CO_{2(g)}$ + $H_{2(g)}$ $∆$ $CO_{(g)}$ + $H_2O_{(l)}$, $∆$H = -$X_3$ kJ/mol $C_2H_{2(g)}$ + $\frac{5}{2}O_{2(g)}$ $∆$ $2CO_{2(g)}$ + $H_2O_{(l)}$, $∆$H = +$4X_4$ kJ/mol Enthalpy of formation of $H_2O_{(l)}$ is
124.Which of the following possesses a sp-carbon in its structure ?
125.A balloon has maximum capacity of 20 L. At one atmospheric pressure 10 L of air is filled in the balloon. It will burst when pressure is (assuming isothermal condition)
126.Which one of the following complexes will have four different isomers ?
127.Solubility product of a salt AB is $1 × 10^{-8}$ in a solution in which the concentration of $A^+$ ions is $10^{-3}$ M. The salt will precipitate when the concentration of B$^-$ ions is kept
128.Sucrose in water is dextro-rotatory, $[α]_D $ = + 66.4º. When boiled with dilute HCl, the solution becomes leavo-rotatory, $ [α]_D$ = –20º. In this process the sucrose molecule breaks into
129.Select correct statement(s).
130.Which of the following statement is not true about secondary structure of protein ?
131.Vapour pressure of benzene at 30°C is 121.8 mm. When 15 g of a non volatile solute is dissolved in 250 g of benzene its vapour pressure decreased to 120.2 mm. The molecular weight of the solute (Mo. wt. of solvent = 78)
132.In nitrogen family, the H-M-H bond angle in the hydrides gradually becomes closer to 90º on going from N to Sb. This shows that gradually
133.For reaction aP $→$ xP , when [A] = 2.2 mM, the rate was found to be 2.4 mMs$^{-1}$. On reducing concentration of A to half, the rate changes to 0.6 mMs$^{-1}$. The order of reaction with respect to A is :
134.The tendency of BF$_3$, BCl$_3$ and BBr$_3$ to behave as Lewis acid decreases in the sequence:
135.If ‘a’ stands for the edge length of the cubic systems : simple cubic, body centred cubic and face centred cubic, then the ratio of radii of the spheres in these systems will be respectively,
136.Which of the following is correct order of acidity?
137.Penicillin is :
138.Decomposition of $H_2O_2$ follows a first order reaction. In fifty minutes the concentration of $H_2O_2$ decreases from 0.5 to 0.125 M in one such decomposition. When the concentration of $H_2O_2$ reaches 0.05 M, the rate of formation of $O_2$ will be:
139.Which of the following reactions can produce aniline as main product?
140.What is the standard reduction potential (E°) for $Fe^{3+}$ $→$ Fe ? Given that : $Fe^{2+}+2e^-$ $→$ Fe; $E^0_{Fe^{2+}/Fe}$ = -0.47V $Fe^{3+}+e^-$ $→$ $Fe^{2+}$; $E^0_{Fe^{3+}/Fe^{2+}}$ = +0.77V
141.Which does not exist ?
142.In which case, van’t Hoff factor i remains unchanged ?
143.The unit of equivalent conductivity is
144.Perlon is
145.Tertiary nitro compounds do not tautomerise because
146.Lithium forms body centered cubic structure. The length of the side of its unit cell is 351 pm. Atomic radius of the lithium will be:
147.Dissolving 120g of urea (mol.wt.60) in 1000g of water gave a solution of density 1.15g/mL. The molarity of the solution is
148.An increase in equivalent conductance of a strong electrolyte with dilution s mainly due to
149.An aerosol is a:
150.Regular use of which of the following fertilizers increases the acidity of soil?
151.Force F is given in terms of time t and distance x by F = A sin Ct + B cos Dx. Then, dimensions of $\frac{A}{B}$ and $\frac{C}{D}$ are
152.A particle is dropped from rest from a large height.Assume g to be constant throughout the motion. The time taken by it to fall through successive distances of 1 m each will be
153.A particle undergoes simple harmonic motion having time period T. The time taken in 3/8th oscillation is
154.When current in a coil changes from 5 A to 2 A in 0.1 s, average voltage of 50 V is produced. The self - inductance of the coil is :
155.The table given below represents the truth table for which of the following combinations of logic gates?
156.The work function of aluminium is 4.2 eV. If two photons each of energy 3.5 eV strike an electron of aluminium, then emission of electron will
157.A doubly ionised Li atom is excited from its ground state(n = 1) to n = 3 state. The wavelengths of the spectral lines are given by $λ_{32}$, $λ_{31}$ and $λ_{21}$ . The ratio $\frac{λ_{32}}{λ_{31}}$ and $\frac{λ_{21}}{λ_{31}}$ are, respectively
158.Two wires A and B of the same material, having radii in the ratio 1 : 2 and carry currents in the ratio 4 : 1. The ratio of drift speed of electrons in A and B is
159.A stone is thrown with a velocity u making an angle q with the horizontal. The horizontal distance covered by its fall to ground is maximum when the angle q is equal to
160.A 25 cm long solenoid has radius 2 cm and 500 total number of turns. It carries a current of 15A. If it is equivalent to a magnet of the same size and magnetization (magnetic moment/ volume), then the modulus of magnetization is :
161.ABC is an equilateral triangle. Charges +q are placed at each corner as shown in fig. The electric intensity at centre O will be
162.The figure shows the path of a positively charged particle 1 through a rectangular region of uniform electric field as shown in the figure. What is the direction of electric field and the direction of particles 2, 3 and 4 ?
163.A circular disc A of radius r is made from an iron plate of thickness t and another circular disc B of radius 4r is made from an iron plate of thickness t/4. The relation between the moments of inertia $I_A$ and $I_B$ is
164.Einstein’s work on photoelectric effect provided support for the equation
165.A metallic bar is heated from 0ºC to 100ºC. The coeficient of linear expansion is 10$^{-5}$ K$^{-1}$. What will be the percentage increase in length?
166.A rough vertical board has an acceleration a along the horizontal so that a block of mass M pressing against it does not fall. The coefficient of friction between block and the board is
167.What should be the minimum value of refractive index of the material of the prism for the reflections to take place as shown in the figure?
168.Plates of area A are arranged as shown. The distance between each plate is d, the net capacitance is
169.A plane wave of wavelength 6250 Å is incident normally on a slit of width 2 × 10$^{-2}$ cm. The width of the principal maximum on a screen distant 50 cm will be
170.The heat radiated per unit area in 1 hour by a furnace whose temperature is 3000 K is ($σ$ = 5.7 × 10$^{-8}$ Wm$^{-2}$K$^{-4}$
171.A gun fires two bullets at $60^0$ and $30^0$ with horizontal. The bullets strike at some horizontal distance. The ratio of maximum height for the two bullets is in the ratio of
172.A generator has an e.m.f. of 440 Volt and internal resistance of 400 Ohm. Its terminals are connected to a load of 4000 Ohm the voltage across the load is
173.Electric field inside a copper wire of length 10 metres, resistance 2 ohm connected to a 10 volt battery is
174.A large number of liquid drops each of radius r coalesce to from a single drop of radius R. The energy released in the process is converted into kinetic energy of the big drop so formed. The speed of the big drop is (given, surface tension of liquid T, density r)
175.The path difference between the two waves : $y_1$ = $a_1$ sin($ωt-\frac{2πx}{λ}$) and $y_2$ = $a_2$ sin($ωt-\frac{2πx}{λ}$ + $φ$) will be
176.The diagram shows the energy levels for an electron in a certain atom. Which transition shown represents the emission of a photon with the most energy?
177.During an adiabatic compression, 830 J of work is done on 2 moles of a diatomic ideal gas to reduce its volume by 50%. The change in its temperature is nearly: (R = 8.3 JK$^{-1}$mol$^{-1}$)
178.A body of mass 10 kg and velocity 10 m/s collides with a stationary body of mass 5 kg. After collision both bodies stick to each other, velocity of the bodies after collision will be
179.Two particles of mass $m_1$ and $m_2$ ($m_1$>$m_2$) attract each other with a force inversely proportional to the square of the distance between them. If the particles are initially held at rest and then released, the centre of mass will
180.Which of the following graphs represent the variation of thermo emf (E) of a thermocouple with temperature q of hot junction (the cold junction being kept at $0^0$C)
181.The r.m.s. velocity of oxygen molecule at 16$^0$C is 474 m/sec. The r.m.s. velocity in m/s of hydrogen molecule at 127$^0$C is
182. When the rms voltages $V_L$, $V_C$ and $V_R$ are measured respectively across the inductor L, the capacitor C and the resistor R in a series LCR circuit connected to an AC source, it is found that the ratio $V_L$:$V_C$:$V_R$ = 1 : 2 : 3. If the rms voltage of the AC sources is 100 V, the $V_R$ is close to:
183.The oscillating electric and magnetic field vectors of electromagnetic wave are oriented along
184.The gravitational field in a region is given by g = 5N/kgî + 12N/kgĵ. The change in the gravitational potential energy of a particle of mass 1 kg when it is taken from the origin to a point (7 m, – 3 m) is:
185.The counting rate observed from a radioactive source at t = 0 was 1600 counts s$^{-1}$, and t = 8s, it was 100 counts s$^{-1}$ . The counting rate observed as 100 counts s$^{-1}$ at t = 6s will be
186.At 0 K which of the following properties of a gas will be zero?
187.A galvanometer coil has a resistance of 15W and gives full scale deflection for a current of 4 mA. To convert it to an ammeter of range 0 to 6 A
188.A uniform rod of mass m, length l , area of cross- section A has Young’s modulus Y. If it is hanged vertically, elongation under its own weight will be
189.The magnifying power of a telescope is 9. When it is adjusted for parallel rays, the distance between the objective and the eye piece is found to be 20 cm. The focal length of lenses are
190.If two soap bubbles of different radii are connected by a tube. Then
191.In a transistor
192.A brass scale of a barometer gives correct reading at 0°C. $α_{Brass}$ = 0.00002/°C. The barometer reads 75 cm at 27°C. The atmospheric pressure at 0°C is
193.The total length of a sonometer wire between fixed ends is 110 cm. Two bridges are placed to divide the length of wire in ratio 6 : 3 : 2. The tension in the wir e is 400 N and th e mass per un it length is 0.01 kg/m. What is the minimum common frequency with which three parts can vibrate?
194.For the velocity time graph shown in the figure below the distance covered by the body in the last two seconds of its motion is what fraction of the total distance travelled by it in all the seven seconds?
195.An object undergoing SHM takes 0.5 s to travel from one point of zero velocity to the next such point. The distance between those points is 50 cm. The period, frequency and amplitude of the motion is
196.The maximum number of possible interference maxima for slit-separation equal to twice the wavelength in Young's double-slit experiment is
197.A circuit has a resistance of 12 ohm and an impedance of 15 ohm. The power factor of the circuit will be
198.If rotational velocity of a dynamo armature is doubled, then induced e.mf. will become
199.Demagnetisation of magnets can be done by
200.The conducting wire oflength l is turned in the form of a circular coil and a current i is placed through it. For torque due to magnetic field produced at its centre, to be maximum, the number of turns in the coil will be