BA 1 2 3 4 5 6 7 8 9 10 11 12 13 14 15 16 17 18 19 20 21 22 23 24 25 26 27 28 29 30 31 32 33 34 35 BB 36 37 38 39 40 41 42 43 44 45 46 47 48 49 50 ZA 51 52 53 54 55 56 57 58 59 60 61 62 63 64 65 66 67 68 69 70 71 72 73 74 75 76 77 78 79 80 81 82 83 84 85 ZB 86 87 88 89 90 91 92 93 94 95 96 97 98 99 100 CA 101 102 103 104 105 106 107 108 109 110 111 112 113 114 115 116 117 118 119 120 121 122 123 124 125 126 127 128 129 130 131 132 133 134 135 CB 136 137 138 139 140 141 142 143 144 145 146 147 148 149 150 PA 151 152 153 154 155 156 157 158 159 160 161 162 163 164 165 166 167 168 169 170 171 172 173 174 175 176 177 178 179 180 181 182 183 184 185 PB 186 187 188 189 190 191 192 193 194 195 196 197 198 199 200

FULL TEST 04

BOTANY

Section-A

1.Most plants are green in colour because

the atmosphere filters out all the colours of the visible light spectrum except green.
green light is the most effective wavelength region of the visible spectrum in sunlight for photosynthesis.
chlorophyll is least effective in absorbing green light.
green light allows maximum photosynthesis.

2.Which of the following organism possesses characteristics of both a plant and an animal?

Bacteria
Euglena
Mycoplasma
Paramecium

3.Function of companion cells is

providing energy to sieve elements for active transport.
providing water to phloem.
loading of sucrose into sieve elements by passive transport.
loading of sucrose into sieve elements.

4.In cell cycle, DNA replication takes place in

$G_1$ phase
$G_2$ phase
mitotic metaphase
S phase

5.Select the events that do not occur in interphase stage of cell-cycle
(i) RNA and protein synthesis.
(ii) Cytoplasmic growth.
(iii) Polymerisation of spindle fibres protein.
(iv) Disappearance of Golgi bodies and ER.
(v) DNA molecules in highly supercoiled stage.

(iii), (iv) & (v)
(iv) & (v) only
(ii), (iii) & (iv)
(iii) & (iv) only

6.Organisms which are indicator of SO$_2$ pollution of air are

Mosses
Lichens
Mushrooms
Puffballs

7.Choose the correct option for A, B, C and D of a mature embryo sac.


A – Filiform apparatus; B – Antipodal cells; C – Synergids; D – Polar nuclei
A – Antipodal cells; B – Filiform apparatus; C – Synergids; D – Polar nuclei
A – Antipodal cells; B – Filiform apparatus; C – Polar nuclei; D – Synergids
A – Antipodal cells; B – Polar nuclei; C – Filiform apparatus; D – Synergids

8.In which one pair both the plants can be vegetative propagated by leaf pieces?

Bryophyllum and Kalanchoe
Chrysanthemum and Agave
Agave and Kalanchoe
Asparagus and Bryophyllum

9.A typical angiospermous ovule is attached to the placenta by means of a stalk called X. Body of the ovule fuses with X in the region called Y. Identify X and Y.

X Y
(a) Funicle Hilum
(b) Hilum Funicle
(c) Funicle Micropyle
(d) Hilum Chalaza

(a)
(b)
(c)
(d)

10.Identify the correctly matched pair.

Basal Convention - Biodiversity Conservation
Kyoto Protocol - Climatic change
Montreal Protocol - Global warming
Ramsar Convention - Ground water pollution

11.Secondary sewage treatment is mainly a

physical process
mechanical process
chemical process
biological process

12.Species interaction with negative influence on both is referred to as

amensalism
mutualism
commensalism
competition

13.Cotyledons and testa respectively are edible parts in

walnut and tamarind
french bean and coconut
cashew nut and litchi
groundnut and pomegranate

14.When pollen grains are not transferred from anthers to stigma in a flower, due to the barrier, it is called

herkogamy
heterogamy
cleistogamy
dichogamy

15.Water potential is equal to

$ψ_S$ + O.P.
$ψ_S$ + T.P.
$ψ_P$ + $ψ_W$
$ψ_S$ + $ψ_P$

16.Which of the following is a free living aerobic non-photosynthetic nitrogen-fixer?

Rhizobium
Azotobacter
Azospirillum
Nostoc

17.What kinds of the structures of proteins are shown in the following figure ?


A = 1° structure, B = 2° structure, C = 3° structure, D = 4° structure
A = 4° structure, B = 2° structure, C = 3° structure, D = 2° structure
A = 1° structure, B = 4° structure, C = 3° structure, D = 2° structure
A = 4° structure, B = 3° structure, C = 2° structure, D = 1° structure

18.In soil, the water available for root absorption is

gravitational water
capillary water
hygroscopic water
combined water

19.Which of the following minerals activate the enzymes involved in respiration?

nitrogen and phosphorus
magnesium and manganese
potassium and calcium
sulphur and iron

20. $C_4 $ acid, formed in the mesophyll of $C_4 $ plants leaf during photosynthesis is

OAA or malic acid or aspartic acid
pyruvic acid
succinic acid
fumaric acid

21.Azotobacter and Beijerinckia are the examples of

symbiotic nitrogen-fixers
non-symbiotic nitrogen-fixers
ammonifying bacteria
disease causing bacteria

22.The first carbon dioxide acceptor in $C_4$-plants is

Phosphoenol-pyruvate
Ribulose 1, 5-diphosphate
Oxalo-acetic acid
Phosphoglyceric acid

23.Select the incorrect statement regarding DNA replication

Leading strand is formed in 5' $→$ 3' direction
Okazaki fragments are formed in 5' $→$ 3' direction
DNA polymerase catalyses polymerisation in 5' $→$ 3' direction
DNA polymerase catalyses polymerisation in 3' $→$ 5' direction

24.Red (RR) Antirrhinum is crossed with white (WW) one. Offspring RW are pink. This is an example of

dominant -recessive
incomplete dominance
hybrid
supplementary genes

25.Food chain in which micro-organisms breakdown the food formed by primary producers is

parasitic food chain
detritus food chain
consumer food chain
predator food chain

26.Which of the following pairs is a sedimentary type of biogeochemical cycle?

Oxygen and nitrogen
Phosphorus and sulphur
Phosphorus and nitrogen
Phosphorus and carbon dioxide

27.Independent assortment of genes does not take place when

genes are located on homologous chromosomes
genes are linked and located on same chromosomes
genes are located on non-homologous chromosomes
All the above

28.Breeding of crops with high levels of minerals, vitamins and proteins is called

Somatic hybridisation
Biofortification
Biomagnification
Micropropagation

29.If we completely remove the decomposers from an ecosystem, its functioning will be adversely affected, because

energy flow will be blocked
herbivores will not receive solar energy
mineral movement will be blocked
rate of decomposition will be very high

30.A nucleotide is formed of

Purine, pyrimidine and phosphate
Purine, sugar and phosphate
Nitrogen base, sugar and phosphate
Pyrimidine, sugar and phosphate

31.Which of the following hormones are responsible for maintaining bud dormancy in deciduous trees ?

Auxins
Cytokinins
Gibberellins
Abscisic acid

32.A small segment of DNA contains the base sequence CGT. If an mRNA transcript is made that includes this DNA sequence, what will be the anticodon on the tRNA that will bind to the corresponding mRNA codon for this DNA triplet?

CGT
GCA
CGU
GCT

33.Which of the following is a reducing sugar?

Galactose
Gluconic acid
beta -methyl galactoside
Sucrose

34.Which of the following processes make direct use of oxygen ?

Glycolysis
Fermentation
Electron transport
Krebs cycle

35.Phosphofructokinase is inhibited by $H^+$ ions and hence the reate of glycolysis:

increases when pH falls
decreases when pH falls significantly
neither increase or decrease
either increase or decrease

BOTANY

Section-B

36.Which of the following is a biological uncoupler of oxidative phosphorylation ?

Thermogenin
2, 4 – Dichlorophenoxy acetic acid
2, 4 – Dinitrophenol
Ethylene diaminotetra acetic acid

37.Wildlife is destroyed most when

there is lack of proper care
mass scale hunting for foreign trade
its natural habitat is destroyed
natural calamity occurs

38.Golden rice is a transgenic crop of the future with the following improved trait :

insect resistance
high lysine (essential amino acid) content
high protein content
high vitamin-A content

39.Which of the following could not be considered an ecosystem ?

A small pond
All the fish in a coral reef
Earth
A pile of dung in a pasture

40.A common biocontrol agent for the control of plant diseases is

Baculovirus
Bacillus thuringiensis
Glomus
Trichoderma

41.Which of the following is not caused by deficiency of mineral nutrition -

Necrosis
Etiolation
Chlorosis
Shortening of internodes.

42.A number of natural reserves have been created to conserve specific wild life species. Identify the correct combination from the following

Gir Forest - Tiger
Kaziranga - Elephants
Rann of Kutch - Wild Ass
Manas wild life Sancturay - Musk deer

43.PCR and Restriction Fragment Length Polymorphism are the methods for :

Study of enzymes
Genetic transformation
DNA sequencing
Genetic Fingerprinting

44.The $C_4$ plants are photosynthetically more efficient than $C_3 $ plants because:

the $CO_2$ compensation point is more
$CO_2$ generated during photorespiration is trapped and recycled through PEP carboxylase
the $CO_2$ efflux is not prevented
they have more chloroplasts

45.The enormous diversity of protein molecules is due mainly to the diversity of

amino groups on the amino acids
R groups on the amino acids
amino acid sequences within the protein molecule
peptide bonds

46.Mannitol is stored food in

Porphyra
Fucus
Gracilaria
Chara

47.Sporangia and spore bearing leaf in fern is called as

Ramentum
Sorus
Indusium
Sporophyll or frond

48.Eye of potato is

Axillary bud
Accessory bud
Adventitious bud
Apical bud

49.The common bottle cork is a product of :

Dermatogen
Phellogen
Xylem
Vascular cambium

50.Guttation is a result of

diffusion
transpiration
osmosis
root pressure

ZOOLOGY

Section-A

51.A tooth scraping yields large numbers of corkscrew shaped bacteria. These bacteria are referred to as

Bacilli
Cocci
Spirilli
Helici

52.Which one of the following pairs of animals comprises ‘jawless fishes’?

Mackerals and Rohu
Lampreys and hag fishes
Guppies and hag fishes
Lampreys and eels

53.Intercalated discs are the communication junctions between the cells of

cardiac muscles
striped muscles
adipose tissue
nerve and striated muscles

54.Which of the following has parapodia that function in movement and respiration ?

Polychaetes
Leeches
Oligochaeta
Lophophorates

55.Pseudostratified epithelium is found in

oesophagus
respiratory tract
urinary tract
kidney

56.Male and female cockroaches can be distinguished externally through

anal styles in male
anal cerci in female
anal style and antennae in females
Both anal cerci and anal style and antennae in females

57.Nerve cells do not divide because they do not have

nucleus
centrosome
golgi body
mitochondria

58.Strobilanthes kunthiana differs from bamboo in

being monocarpic
length of juvenile phase
being polycarpic
none of these

59.Human population growth in India

tends to follow a sigmoid curve as in case of many other animal species
tends to reach a zero population growth as in case of some animal species
can be reduced by permitting natural calamities and enforcing birth control measures
can be regulated by following the national programme of family planning

60.The diaphragm, cervical cap and vaults are

Disposable contraceptive devices
Reusable contraceptives
IUDs
Implants

61.The main function of trophoectoderm in mammalian embryo is

formation of future endoderm
formation of the body of developing embryo
formation of future ectoderm
formation of placenta

62.Following diagrammatic representation refers the natural selection on different traits. In which all the three graphs A, B and C are identified correctly


A – Directional, B – Stabilising,C – Disruptive
A – Stabilising, B – Directional,C – Disruptive
A – Stabilising, B – Disruptive,C – Directional
A – Directional, B – Disruptive,C – Stabilising

63.Which one of the following statements about human sperm is correct?

Acrosome has a conical pointed structure used for piercing and penetrating the egg, resulting in fertilisation
The sperm lysis in the acrosome dissolve the egg envelope facilitating fertilisation
Acrosome serves as a sensory structure leading the sperm towards the ovum
Acrosome serves no particular function

64.Bulbourethral gland is present in

Males and is another name for Uterus masculina
Females and is another name for Bertholin’s gland
Males and is another name for Cowper ’s gland
None of these

65.One of the factors required for the maturation of the erythrocytes is

vitamin A
vitamin D
vitamin $B_{12}$
vitamin C

66.In which of the following would you record the highest blood pressure ?

The ventricle supplying blood to the gills of a fish
The anterior dorsal artery of an ant
The pulmonary vein of a frog
The ventricle supplying blood to the systemic circuit of a bird

67.Oxyntic cells are located in

Islets of Langerhans
Gastric epithelium and secrete pepsin
Kidneys and secrete renin
Gastric epithelium and secrete HCl

68.If Henle’s loop were absent from mammalian nephron which of the following is to be expected?

The urine will be more concentrated
The urine will be more dilute
There will be no urine formation
There will be hardly any change in the quality and quantity of urine formed

69.Hepatic portal system carries

Oxygenated blood from liver to intestine
Deoxygenated blood from liver to intestine
Oxygenated blood from intestine to liver
Deoxygenated blood from intestine to liver

70."Kwashiorkar' and 'Beri-Beri' are

communicable diseases
infectious diseases
deficiency diseases
None of the above

71.ABO blood group system is due to

multifactor inheritance
incomplete dominance
multiple allelism
epistasis

72.Change over time within an evolutionary lineage (phyletic change)..

is the only important evolutionary process.
rarely occurs without geographic separation of populations.
is the main means by which new species arise.
cannot account for the proliferation of species.

73.Bull semen for the purpose of artificial insemination is stored in

Ice
Liquid oxygen
Liquid nitrogen
Liquid $CO_2$

74.The kind of evolution in which two species of different geneology come to resemble one another closely, is termed as

progressive evolution
convergent evolution
parallel evolution
retrogressive evolution

75.Drosophila flies with XXY genotype are females, but human beings with such genotype are abnormal males. It shows that

Y-chromosome is essential for sex determination in Drosophila.
Y-chromosome is female determinant in Drosophila.
Y-chromosome is male determination in human beings.
Y-chromosome has no role in sex determination either in Drosophila or in human beings.

76.Hinny is a hybrid of male

Horse and female donkey
Donkey and female horse
Goat and female lamb
Sheep and female goat.

77.Which of the following is the first step in allopatric speciation?

genetic drift
geographical isolation
polyploidy
hybridization

78.When CO$_2$ concentration in blood increases, breathing becomes

shallower and slow
there is no effect on breathing
slow and deep
faster and deeper

79.Identify A, B, C and D


A – Forebrain, B – Brainstem, C – Corpus callosum, D – Cerebral aqueduct
A – Forebrain, B – Brainstem, C – Cerebral aqueduct, D – Corpus callosum
A – Brainstem, B – Forebrain, C – Corpus callosum, D – Cerebral aqueduct
A – Brainstem, B – Forebrain, C – Cerebral aqueduct, D – Corpus luteum

80.The lungs, heart and stomach are supplied by :

Vagus
Glossopharyngeal
Hypoglossal
Trigeminal

81.Which one of the following is the correct statement for respiration in humans?

Workers in grinding and stone-breaking industries may suffer from lung fibrosis.
About 90% of carbon dioxide ($CO_2$) is carriedby haemoglobin as carbaminohaemoglobin.
Cigarette smoking may lead to inflammation of bronchi.
Neural signals from pneumotoxic centre in pons region of brain can increase the duration of inspiration.

82.Which gland is involved in the function of our “biological clock”?

pineal gland
thyroid gland
adrenal glands
ovaries

83.Which of the following statements regarding glucagon is false?

It is secreted by a-cells of Langerhans.
It acts antagonistically to insulin.
It decreases blood sugar level.
The gland responsible for its secretion is heterocrine gland.

84.Which hormone possesses anti-insulin effect?

Cortisol
Calcitonin
Oxytocin
Aldosterone

85.Which is the example of conditioned reflex ?

Eyes closed when anything enter into it.
Hand took up when piercing with needle.
Salivation in a hungry dog in response to ringing of a bell.
Digestion food goes forward in alimentary canal.

ZOOLOGY

Section-B

86.Which one of the following techniques made it possible to genetically engineerd living organism ?

Recombinant DNA techniques
X-ray diffraction
Heavier isotope labelling
Hybridization

87.The diagram opposite shows a homologous (bivalent) pair of chromosomes during meiosis.

Which of the following correctly represents the final products of the second meiotic division ?


(a)
(b)
(c)
(d)

88.Which of the following is the "bird flu virus"?

H5N1
Haemophilus influenzae
HIV
Rhino virus

89.What is mode of bacterial resistance against antibiotics ?

Development of thick mucilaginous layer
Alteration of cell membrane
Mutation in bacteria
All the above

90.Which one of the following is a wrong matching of a microbe and its industrial product, while the remaining three are correct ?

Yeast - statins
Acetobacter aceti - acetic acid
Clostridium butylicum - lactic acid
Aspergillus niger - citric acid

91.Interleukins are responsible for activation of

Cell mediated immunity
Humoral immunity
Both of the above
None of the above

92.Select the correct statement with respect to diseases and immunisation?

If due to some reason B-and T-lymphocytes are damaged, the body will not produce antibodies against a pathogen
Injection of dead / inactivated pathogens causes passive immunity
Certain protozoans have been used to mass produce hepatitis B vaccine.
Injection of snake antivenom against snake bite is an example of active immunisation

93.Vitamin D is synthesized in skin by the action of sunlight on

Cholesterol
7-hydroxyl cholesterol
Cephalocholesterol
All of these

94.Which one of the following is the correct matching of three items and their grouping category?

Items Group
(a) Ilium, ischium, pubis - coxal bones of pelvic girdle
(b) Actin, myosin,rhodopsin. - muscle proteins
(c) Cytosine, uracil,thiamine - pyrimidines
(d) Malleus, incus,cochlea - ear ossicles

(a)
(b)
(c)
(d)

95.What is the first step in the Southern blot technique?

Denaturation of DNA on the gel for hybridization with specific probe.
Production of a group of genetically identical cells.
Digestion of DNA by restriction enzyme.
Denaturation of DNA from a nucleated cell such as the one from the scene of crime.

96.Gambusia is a

Parasitic fish
Pest of fish
Fish predator of mosquito larva
Mosquito spreading yellow fever

97.Which part of Cockroach has both exoskeleton and endoskeleton?

Head
Thorax
Abdomen
All of these

98.If concentration of $CO_2$ is more the curve of oxygen will shift towards

Right
Left
Central
None of these

99.Which one engulfs pathogens rapidly?

Acidophils
Monocytes
Basophils
Neutrophils

100.Blood fraction remaining unchanged after circulation through kidney is

Urea and Uric acid
Urea and Proteins
Urea and Glucose
Glucose and Proteins

CHEMISTRY

Section-A

101.The observed osmotic pressure for a 0.10 M solution of $Fe(NH_4)_2(SO_4)_2$ at 25°C is 10.8 atm. The expected and experimental (observed) values of van’t Hoff factor (i) will be respectively: (R = 0.082 L atm K$^{-1}$ mol$^{-1}$)

5 and 4.42
4 and 4.00
5 and 3.42
3 and 5.42

102. In the Freidel Craft's acylation reaction, the effective electrophile is

RCOCl$^+$
AlCl
RCOCl$_3$
RCO$^+$

103.Match the columns

Column-I Column-II
(A) Lanthanide hard as steel. (p) Lu
(B) Lanthanide with maximum paramagnetic character in Ln$^{4+}$ state. (q) Tb
(C) Lanthanide with maximum value of $E^0$ for reaction $Ln^{3+}_{(aq)} + 3e^-$ $→$ Ln(s). (r ) Sm
(D) Lanthanide whose Ln$^{3+}$ ion is diamagnetic in nature (s) Eu

A – (r), B – (s), C – (p), D – (q)
A – (r), B – (q), C – (s), D – (p)
A – (s), B – (r), C – (q), D – (p)
A – (r), B – (s), C – (q), D – (p)

104.Specific volume of cylindrical virus particle is $6.02 × 10^{-2}$ cc/gm. whose radius and length 7 Å & 10 Å respectively. If N$_A$ = $6.02 × 10^{23}$

3.08 $× 10^3$ kg/mol
3.08 $× 10^4$ kg/mol
1.54 $× 10^4$ kg/mol
15.4 kg/mol

105.Arrange the following in increasing order of their acidity?
o–cresol(a), salicyclic acid(b), phenol(c)

c < a < b
b < c < a
a < b < a
a < c < b

106.Consider the following statements
I. The radius of an anion is larger than that of the parent atom.
II. The ionization energy generally increases with increasing atomic number in a period.
III. The electronegativity of an element is the tendency of an isolated atom to attract an electron.
Which of the above statements is/are correct?

I alone
II alone
I and II
II and III

107.$Cl_2$ changes to $Cl^-$ and $ClO^-$ in cold NaOH. Equivalent weight of $Cl_2$ will be

M
M/2
M/3
3M/2

108. Pick out the wrong statement.

Nitrogen has the ability to form pπ-pπ bonds with itself.
Bismuth forms metallic bonds in elemental state.
Catenation tendency is higher in nitrogen when compared with other elements of the same group.
Nitrogen has higher first ionisation enthalpy when compared with other elements of the same group.

109.In the conversion of Br$_2$ to BrO$^-_3$ , the oxidation number of Br changes from

zero to + 5
+ 1 to + 5
zero to – 3
+ 2 to + 5

110.Arrange the following phenols in order of their increasing acidity.


I > III > II
I > II > III
III > I > II
III > II > I

111.The average molecular speed is greatest in which of the following gas samples ?

1.0 mole of O$_2$ at 560 K
0.50 mole of Ne at 500 K
0.20 mole of CO$_2$ at 440 K
2.0 mole of He at 140 K

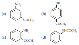
112.Aniline is an activated system for electrophilic substitution. The compound formed on heating aniline with acetic anhydride is


(a)
(b)
(c)
(d)

113.The formula mass of Mohr's salt is 392. The iron present in it is oxidised by KMnO$_4$ in acid medium. The equivalent mass of Mohr's salt is

392
31.6
278
156

114.Sewage mostly constitutes

Non-biodegradable pollutants
Biodegradable pollutants
Effluents
Air pollutants

115.The Langmuir adsorption isotherm is deduced using the assumption

The Langmuir adsorption isotherm is deduced using the assumption ability to adsorb the particles
the heat of adsorption varies with coverage
the adsorbed molecules interact with each other
the adsorption takes place in multilayers.

116.Which of the following can be repeatedly soften on heating?
(i) Polystyrene
(ii) Melamine
(iii) Polyesters
(iv) Polyethylene
(v) Neoprene

(i) and (iii)
(i) and (iv)
(iii), (iv) and (v)
(ii) and (iv)

117.The volume-temperature graphs of a given mass of an ideal gas at constant pressure are shown below.

What is the correct order of pressures ?

$p_1>p_3>p_2$
$p_1>p_2>p_3$
$p_2>p_3>p_1$
$p_2>p_1>p_3$

118.Which of the following is used for making optical instruments?

$SiO_2$
Si
$SiH_4$
SiC

119.The correct order of acid strength of oxyacids is:

$HClO>HClO_2>HClO_3>HClO_4$
$HClO_2>HClO_3>HClO>HClO_4$
$HClO_4>HClO_3>HClO_2>HClO$
$HClO_3>HClO_4>HClO>HClO_2$

120.25.3 g of sodium carbonate, $Na_2CO_3$ is dissolved in enough water to make 250 mL of solution. If sodium carbonate dissociates completely, molar concentration of sodium ions, $Na^+$ and carbonate ions, $CO_3^{2-}$ are respectively (Molar mass of $Na_2CO_3$ = 106 g/mol

0.955 M and 1.910 M
1.910 M and 0.955 M
1.90 M and 1.910 M
0.477 M and 0.477 M

121.In which alkyl halides, $S_N$2 mechanism is favoured maximum ?

$CH_3Cl$
$CH_3CH_2Cl$
$(CH_3)_2CHCl$
$(CH_3)_3C-Cl$

122.Equilibrium constant K changes with temperature.At 300 K, equilibrium constant is 25 and at 400 K it is 10. Hence, backward reaction will have energy of activation

equal to that of forward reaction
less than that of forward reaction
greater than that of forward reaction
given values are not sufficient to explain given statement

123.Which of the two ions from the list given below that have the geometry that is explained by the same hybridization of orbitals, $NO_2^-$, $NO_3^-$, $NH_2$, $NH_4^+$, $SCN^-$ ?

$NO_2^-$ and $NO_3^-$
$NH_4^+$ and $NO_3^-$
$NH_2$ and $SCN^-$
$NO_2^-$ and $NH_2$

124.

(a)
(b)
(c)
(d)

125.White lead is

$Pb_3O_4$
PbO
$2PbCO_3.Pb(OH)_2$
$Pb(CH_3COO)_2.Pb(OH)_2$

126.The commonest method for the extraction of metals from oxide ores involves :

Reduction with carbon and carbon monoxide
Reduction with aluminium
Reduction with hydrogen
Electrolytic method

127.With which one of the following elements silicon should be doped so as to give p-type of semiconductor ?

Germanium
Arsenic
Selenium
Boron

128.IUPAC name of $[Pt(NH_3)_3(Br)(NO_2)Cl]Cl$ is

Triamminechlorobromonitroplatinum (IV) chloride
Triamminebromonitrochloroplatinum (IV) chloride
Triamminebromochloronitroplatinum (IV) chloride
Triamminenitrochlorobromoplatinum (IV) chloride

129.A molecule M associates in a given solvent according to the equation M $⇄$ $(M)_n$. For a certain concentration of M, the van't Hoff factor was found to be 0.9 and the fraction of associated molecules was 0.2. The value of n is:

3
5
2
4

130.Which of the following compound will undergo self aldol condensation in the presence of cold dilute alkali ?

$CH_2=CH-CHO$
CH≡C-CHO
$C_6H_5CHO$
$CH_3CH_2CHO$

131.When one mole of an ideal gas is compressed to half its initial volume and simultaneously heated to twice in initial temperature, the change in entropy (∆S) is

$C_vln2$
$C_pln2$
Rln2
$(C_v-R)ln2$

132.If x is amount of adsorbate and m is amount of adsorbent, which of the following relations is not related to adsorption process ?

$\frac{x}{m}$ = K(p) at very low pressure.
$\frac{x}{m}$ = Kp$^{1/n}$ at inter mediate pressure
$\frac{x}{m}$ = K at very high pressure
$\frac{x}{m}$ = p

133.For the reaction of one mole of zinc dust with one mole of sulphuric acid in a bomb calorimeter, ∆U and W corresponds to

∆U < 0, W = 0
∆U < 0, W < 0
∆U > 0, W = 0
∆U > 0, W > 0

134.Reactivity of hydrogen atoms attached to different carbon atoms in alkanes has the order

Tertiary > Primary > Secondary
Primary > Secondary > Tertiary
Both the above two
Tertiary > Secondary > Primary.

135.In most cases, for a rise of 10K temperature the rate constant is doubled to tripled. This is due to the reason that

collision frequency increases by a factor of 2 to 3.
fraction of molecules possessing threshold energy increases by a factor of 2 to 3
Activation energy is lowered by a factor of 2 to 3.
none of these

CHEMISTRY

Section-B

136.The restricted rotation about carbon carbon double bond in 2-butene is due to

Overlap of one s- and sp$^2$ -hybridized orbitals
Overlap of two sp$^2$ - hybridized orbitals
Overlap of one p- and one sp$^2$ - hybridized orbitals
Sideways overlap of two p- orbitals.

137.Which of the following colligative property can provide molar mass of proteins (or polymers or colloids) with greatest precision ?

Osmotic pressure
Elevation of boiling point
Depression of freezing point
Relative lowering of vapour pressure

138.Cyclic hydrocarbon ‘A’ has all the carbon and hydrogen atoms in a single plane. All the carbon carbon bonds have the same length, less than 1.54 Å, but more than 1.34 Å. The C – C – C bond angle will be

109°28'
100°
180°
120°

139.The major product obtained in the photo catalysed bromination of 2-methylbutane is:

1-bromo-2-methylbutane
1-bromo-3-methylbutane
2-bromo-3-methylbutane
2-bromo-2-methylbutane

140.The reason for double helical structure of DNA is the operation of:

Electrostatic attractions
van der Waals forces
Dipole - Dipole interactions
Hydrogen bonding

141.Among the following, correct statement is :

Brownian movement is more pronounced for smaller particles than for bigger– particles.
Sols of metal sulphides are lyophilic.
Hardy Schulze law states that bigger the size of the ons, the greater is its coagulating power.
One would expect charcoal to adsorb chlorine more than hydrogen sulphide.

142.What is the correct order of spin only magnetic moment (in BM) of Mn$^{2+}$, Cr$^{2+}$ and V$^{2+}$

Mn$^{2+}$ > V$^{2+}$ > Cr$^{2+}$
V$^{2+}$ > Cr$^{2+}$ > Mn$^{2+}$
Mn$^{2+}$ > Cr$^{2+}$ > V$^{2+}$
Cr$^{2+}$ > V$^{2+}$ > Mn$^{2+}$

143.In which of the following cases, pH is greater than 7?

50 mL of 0.1 M HCl + 50 mL of 0.1 M NaCl
50 mL of 0.1 M H$_2$SO$_4$ + 50 mL of 0.2 M NaOH
50 mL of 0.1 M CH$_3$COOH + 50 mL of 0.1 M KOH
50 mL of 0.1 M HNO$_3$ + 50 mL of 0.1 M NH$_3$

144.In the presence of platinum catalyst, hydrocarbon A adds hydrogen to form n-hexane. When hydrogen bromide is added to A instead of hydrogen, only a single bromo compound is formed. Which of the following is A?

$CH_3-CH_2-CH=CH-CH_2-CH_3$
$CH_3-CH_2-CH_2-CH=CH-CH_3$
$CH_3-CH=CH-CH_2-CH_2-CH_3$
$CH_2=CH-CH_2-CH_2-CH_2-CH_3$

145.Which of the following statements are correct ?
(i) Polynuclear hydrocarbons contain two or more benzene rings fused together.
(ii) Polynuclear hydrocarbons have carcinogenic property.
(iii) Polynuclear hydrocarbons are formed on incomplete combustion of organic materials like tobacco, coal and petroleum.
(iv) They are also produced in human body due to various biochemical reactions.

(i), (ii) and (iv)
(i), (iii) and (iv)
(ii), (iii) and (iv)
(i), (ii) and (iii)

146.Which of the following is not a property of colloidal solution?

Heterogenity
Particle size > 100 nm
Tyndall effect
Brownian movement

147.The correct order of heat of formation of halogen acids is

HI>HBr>HCl>HF
HF>HCl>HBr>HI
HCl>HF>HBr>HI
HCl>HBr>HF>HI

148.Which of the following is not an actinoid?

Curium
Californium
Uranium
Terbium

149.Which of the following gives maximum energy in metabolic processes?

Proteins
Carbohydrates
Lipis
Vitamins

150.Which of the following is a branched polymer?

Low density polymer
Polyester
High density polymer
Nylon

PHYSICS

Section-A

151.The specific resistance r of a circular wire of radius r, resistance R and length l is given by $ρ=\frac{π^2R}{l}$. Given, r = 0.24 ± 0.02 cm, R = 30 ± 1$Ω$ and l = 4.80 ± 0.01 cm. The percentage error in ρ is nearly

7%
9%
13%
20%

152.A boy is spinning on a rotating stool with his arms down to his sides. Suddenly he stretches his arms. Which of the following is true regarding his angular speed (ω) and the angular momentum (L) ?

ω decreases but L remains same
Both ω and L decrease
ω remains constant but L decreases
ω increases but L remains constant

153.If the radius of the earth shrinks by 2% and mass remains unchanged then acceleration due to gravity will

increase by 2%
decrease by 2%
increase by 4%
decrease by 4%

154.IF $μ_R$, $μ_K$ and $μ_S$ represent the coefficients of rolling friction, kinetic and static friction, then

$μ_R$ = $μ_S$ = $μ_K$
$μ_R$ > $μ_K$ > $μ_S$
$μ_R$ < $μ_S$ < $μ_K$
$μ_R$ < $μ_K$ < $μ_S$

155.A right prism is made by selecting a proper material and the angle A and B (B << A) as shown in fig. It is desired that a ray of light incident on the face AB emerges parallel to the incident direction after two internal reflections.What should be the minimum refractive index m for this to be possible ?


$√3$
1.5
$√2$
1.8

156.Kirchhoff’s I and II laws are based on conservation of

energy and charge respectively
charge and energy respectively
mass and charge respectively
None of these

157.An ideal gas heat engine operates in a Carnot cycle between 227$^0$C and 127$^0$C. It absorbs 6 kcal at the higher temperature. The amount of heat (in kcal) converted into work is equal to

1.2
4.8
3.5
1.6

158.The work function of a metallic substance is 5 eV. The threshold frequency is approximately

1.6 × 10$^7$ Hz
8.68 × 10$^{15}$ Hz
9.68 × 10$^{17}$ Hz
1.2 × 10$^{15}$ Hz

159.The component of vector a = 2î + 3ĵ along the vector b = î + ĵ

$\frac{5}{$√2$}$
10$√2$
5$√2$
5

160.What is the ratio of the shortest wavelength of the Balmer series to the shortest wavelength of the Lyman series ?

4 : 1
4 : 3
4 : 9
5 : 9

161.A smooth inclined plane is fixed in a car accelerating at a = g tanθ. If the sphere is set pure rolling on the incline then


it will continue rolling
it will slip down
its linear velocity will increase
its linear velocity will decrease

162.Use of eddy currents is done in the following except

moving coil galvanometer
electric brakes
induction motor
dynamo

163.A satellite of mass m is put into a circular orbit of height h from the surface of the earth (mass = M$_e$, radius = $R_e$). The orbital speed of satellite is

$√(\frac{2GM_eh}{R_e(R_e+h)})$
$√(\frac{2GM_e}{R_e+h})$
$√(\frac{GM_e}{(R_e+h)^3})$
$√(\frac{GM_e}{2(R_e+h)})$

164.Consider the following statements and select the incorrect statement(s).

The presence of a large magnetic flux through a coil maintains a current in the coil if the circuit is continuous.
A coil of a metal wire kept stationary in a non–uniform magnetic field has an e.m.f induced in it.
A charged particle enters a region of uniform magnetic field at an angle of 85° to the magnetic lines of force, the path of the particle is a circle.
There is no change in the energy of a charged particle moving in a magnetic field although a magnetic force is acting on it.

165. 16 g of oxygen at 37°C is mixed with 14 g of nitrogen at 27°C, the temperature of the mixture will be

30.5°C
37°C
27°C
32°C

166.At the centre of a cubical box + Q charge is placed. The value of total flux that is coming out a wall is

Q/$ε_0$
Q/3$ε_0$
Q/4$ε_0$
Q/6$ε_0$

167.A particle moves under the effect of a force F = cx from x = 0 to x = x$_1$, the work done in the process is

$cx_1^2$
$½cx_1^2$
2$cx_1^2$
zero

168.According to the kinetic theory of gases, the pressure exerted by a gas on the walls is measured as

rate of change of momentum imparted to the walls per second per unit area.
momentum imparted to the walls per unit area
change of momentum imparted to the walls per unit area.
change in momentum per unit volume

169.The resistance of a resistor with the following colour code is equal to


26 × 10$^4$ Ω ± 5%
25 × 10$^4$ Ω ± 10%
35 × 10$^5$ Ω ± 5%
27 × 10$^5$ Ω ± 5%

170.The fundamental frequency of a closed end organ pipe is n. Its length is doubled and radius is halved. Its frequency will become nearly

n/2
n/3
n
2n

171.A rain drop of radius 0.3 mm has a terminal velocity in air = 1 m/s. the viscosity of air is 8 × 10$^{-5}$ poise. The viscous force on it is

45.2 × 10$^{-4}$ dyne
101.73×10$^{-5}$ dyne
16.95 × 10$^{-4}$ dyne
16.95 × 10$^{-5}$ dyne

172.A particle moves such that its acceleration ‘a’ is given by a = –bx where x is the displacement from equilibrium position and b is constant. The period of oscillation is

2π/b
2π/√b
√(2π/b)
2√(π/b)

173.A person who can see things most clearly at a distance of 10 cm, requires spectacles to enable to see clearly things at a distance of 30 cm. What should be the focal length of the spectacles?

15 cm (Concave)
15 cm (Convex)
10 cm
0

174.The magnetic field of earth at the equator is approximately 4 × 10$^{-5}$T. The radius of earth is 6400 km. Then the dipole moment of the earth will be nearly of the order of:

$10^{23}Am^2$
$10^{20}Am^2$
$10^{16}Am^2$
$10^{10}Am^2$

175.To which logic gate does the truth table given below correspond?

A B Y
0 0 0
0 1 1
1 0 1
1 1 0

AND gate
NAND gate
NOR gate
XOR gate

176.A passenger travels along the straight road for half the distance with velocity v$_1$ and the remaining half distance with velocity v$_2$ . Then average velocity is given by

v$_1$v$_2$
v$_2^2$/v$_1^2$
(v$_1$ + v$_2$)/2
2v$_1$v$_2$/(v$_1$ + v$_2$)

177.A point initially at rest moves along x-axis. Its acceleration varies with time as a = (6t + 5)m/s$^2$ . If it starts from origin, the distance covered in 2s is

20 m
18 m
16 m
25 m

178.With O as the or igin of the coor dinate axis, the X and Y-coordinates of the centre of mass of the system of particles shown in the figure may be given as (Here m and 2m represent the masses of the particles).


(-b/2,0)
(-b/2,b)
(-b/3,b)
(-2b/5,b)

179.A nuclear reaction is given by
$X_Z^A$ $→$ $_{Z+1}Y^A$ + $_{-1}e^0$ + ṽ, represents

fission
beta-decay
alpha-decay
fusion

180.Steam is passed into 22 gm of water at 20$^0$C. The mass of water that will be present when the water acquires a temperatue of 90$^0$C (Latent heat of steam is 540 cal/g) is

24.83 gm
24 gm
36.6 gm
30 gm

181.Electromotive force is the force which is able to maintain a constant

potential difference
power
resistance
current

182.A prism of refractive index $√2$ has a refracting angle of 60$^0$. At what angle a ray must be incident on it so that it suffers a minimum deviation?

45$^0$
60$^0$
90$^0$
180$^0$

183.Select the incorrect statement about Lorentz Force.

In presence of Electric field E(r) and magnetic field B(r) the force on a moving electric charge is F = q[E(r)+v×B(r)]
The force, due to magnetic field on a negative charge is opposite to that on a positive charge.
The force due to magnetic field are become zero if velocity and magnetic field are parallel or antiparallel.
For a static charge the magnetic force is maximum.

184.In an AC generator, a coil with N turns, all of the same area A and total resistance R, rotates with frequency ω in a magnetic field B. The maximum value of emf generated in the coil is

NABRω
NAB
NABR
NABω

185.A diametrical tunnel is dug across the earth. A ball is dropped into the tunnel from one side. The velocity of the ball when it reaches the centre of the earth is (Given : gravitational potential at the centre of earth = $\frac{-3}{2}\frac{GM}{R}$

$√R$
$√(gR)$
$√(2.5gR)$
$√(7.1gR)$

PHYSICS

Section-B

186.A spring of force constant 800 N/m has an extension of 5 cm. The work done in extending it from 5 cm to 15 cm is

16 J
8 J
32 J
24 J

187.If it takes 5 minutes to fill a 15 litre bucket from a water tap of diameter $\frac{2}{√π}$cm then the Reynolds number for the flow is close to (density of water = 1000 Kg/$m^3$ and viscosity of water = $10^{-3}$ Pa.s):

1100
11,000
550
5500

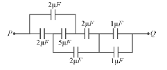
188.The effective capacitance between the points P and Q of the arrangement shown in the figure is


½μF
μF
2μF
1.33μF

189.A glass rod 20 cm long is clamped at the middle. It is set into the longitudinal vibration. If the emitted sound frequency is 4000 Hz, the velocity of sound in glass will be

2800 m/s
3200 m/s
1600 m/s
2000 m/s

190.A transistor has an α = 0.95, then β is equal to

1/19
19
1.5
0.95

191.A coil of circular cross-section having 1000 turns and 4 cm$^2$ face area is placed with its axis parallel to a magnetic field which decreases by 10$^{-2}$ Wb m$^{-2}$ in 0.01 s. The e.m.f. induced in the coil is:

400 mV
200 mV
4 mV
0.4 mV

192.A particle is moving eastwards with a velocity of 5 m/s. In 10 seconds the velocity changes to 5 m/s northwards. The average acceleration in this time is

$½ms^{-2}$ North
$\frac{1}{√2};ms^{-2}$ North-East
$\frac{1}{√2};ms^{-2}$ North-West
zero

193.In bringing an electron towards another electron, the electrostatic potential energy of system

increases
decreases
becomes zero
remains unchanged

194.Four Bulbs $B_1$, $B_2$, $B_3$ and $B_4 $ of 100 W each are connected to 220 V main as shown in the figure. The reading in an ideal ammeter will be:


0.45 A
0.90 A
1.35 A
1.80 A

195.In a solenoid, if number of turns is doubled, then self inductance will become

half
double
1/4 times
quadruple

196.The ratio of the numerical values of the average velocity and the average speed of a body is always

unity
unity or less
unity or more
less than unity

197.A man starts walking from a point on the surface of the earth (assumed smooth) and reaches diagonally opposite point.What is the work done by him?

Zero
Positive
Negative
Nothing can be said

198.The radius and mass of earth increased by 0.5%. which of the following statements is false at the surface of the earth?

g will increase
g will not increase
Escape velocity will remain unchanged
Positive energy will remain unchanged

199.A and B are two wires. The radius of A is twice that of B. They are stretched by the same load. Then the stress on B is

equal to that on A
four times that on A
two times that on A
half that on A

200.When a bimetallic strip is heated, it

does not bend at all
gets twisted in the form of an helix
bend in the form of an arc with the more expandable metal outside
bends in the form of an arc with the more expandable metal inside